비오틴은 수용성 비타민으로 에너지 영양소를 우리 몸에서 분해하고 합성하는 데 필수적인 성분 중 한가지이지요. 비오틴은 신진대사를 순조롭게 해서 다양한 성인병을 예방하고 피부미용에 좋은 성분이 함유되어 있다고 합니다. 탈모 걱정이 있으시다면 반드시 챙겨야 할 영양소이기도 합니다. 그럼 비오틴 많은 음식은 어떤 것들인지 알려드리겠습니다.
목차






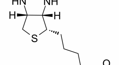
비오틴이란
비오틴은 수용성 비타민으로 비타민 B군의 비타민 B7 및 비타민H 및 코엔자임R이라고도 불려요. 불리는 이름은 다양한이지만 모두 비오틴일 지칭하는 말이지요. 지방과 탄수화물의 대사에 관여하고 장내의 미생물에 의해 생합성이 되기때문에 결핍이 나타나는 경우는 거의 없어요.
비오틴 효능
비오틴 효능 1. 탈모 예방
스위스의 한 연구에 의하면 비오틴을 계속해서 복용한 집단과 그렇지 못한 집단의 두피, 모발 상태를 따져 보았을 때, 비오틴을 섭취해준 집단이 25% 이상 모발이 건강한 것으로 밝혀졌다고 합니다. 비오틴은 모발 성장에 필요한 단백질과 효소의 생산을 증진시켜 건강한 모발을 자라게 하며, 모발을 구성하고 있는 케라틴의 구조를 개선시키는 역할도 한다고 합니다.






비오틴 효능 2. 원활한 인체 대사
음식을 섭취하고 나서 소화되는 과정에서 굉장한 도움을 준다고 하는데,. 각 세포가 사용할 포도당을 몸에 필요한 연료로 변환하던가, 지방함유 식품에서 지방산을 활성화한다고 합니다. 이 때문에 다이어트에도 큰 도움이 될 수 있다고 해요. 소화장애나 급격한 체중증가 현상이 있다 하시는 분께서는 반드시 비오틴 효능을 섭취해보시기를 권장합니다.
비오틴 효능 3. 피부 건강 향상
과학자들은 건강한 피부를 유지하는 데 있어 비오틴의 역할을 완전히 이해하지 못합니다. 하는데, 비오틴 결핍증이 있는 사람들은 붉고 비늘 같은 피부 문제를 경험할 수 있습니다. 비타민이 피부에 미치는 영향은 지방 대사에 미치는 영향에서 비롯될 수 있습니다. 이 과정은 건강한 피부를 유지하는 데 중요하고, 비오틴 함량이 낮은 사람들에게는 손상될 수 있습니다.






비오틴 효능 4. 건강한 손톱
부서지기 쉬운 못은 깨지기 쉽고 갈라지거나 갈라지기 쉽습니다. 비오틴 결핍은 손톱을 부러뜨릴 수 있습니다. 이 결핍증이 있는 사람들은 비오틴 효능을 보충하면 손톱의 강도를 증진시킬 수 있습니다.
비오틴 효능 5. 당뇨 예방
비오틴 효능으로 당뇨 예방 효과도 있어요. 당뇨는 합병증때문에 아주 치명적인 질환으로 알려져 있어요. 혈당 조절이 잘 되지 않아 문제가 되는 질환이지요. 당뇨를 겪거나 걸릴 확률이 높은 사람들의 경우 낮은 글루코기나제 수치로 인해 혈당 조절이 잘 되지 않는 경우가 많아요. 즉 클루코기나제가 혈당 대사에 큰 역할을 한다는 것으로 보입니다. 하지만 평상시 정기적으로 섭취하다 보면 체내의 인슐린 분비를 촉진시키고 혈당 조절을 도와 당뇨병을 예방하던가 당뇨병 증상을 개선하는데 도움을 받을 수 있다고 합니다.
비오틴 결핍증
비오틴 결핍증은 습진 과 같은 피부염, 결막염, 설염, 지각 과민이나 탈모, 흰머리 증가 등이 있어요. 그 외 무기력, 피로감, 우울, 창백, 메스꺼움, 운동 실조, 근육통, 경련, 긴장 저하 과 같은 원인이 되기도 합니다. 비오틴은 같은 것만 계속 먹는 등 극단적인 편식을 하면 결핍증이 되는 경우가 있죠. 그리고 항생제를 많이 사용하던가 장기간 설사 등으로 장내 세균의 균형이 깨져 몸 안에서의 비오틴 생산량이 적어지고 결핍되는 경우도 있어요.






비오틴 많은 음식
1. 비오틴 많은 음식 - 쇠고기 간, 돼지 간
약 100그람의 소고기 간에는 35mcg의 비오틴이 들어있습니다. 이는 하루 권장량 보다 풍부한 양이지요. 순대를 먹을 때 간을 추가하여 먹는다면 비오틴 효능을 넉넉하게 먹을 수 있을것으로 보입니다. 소고기 간 과 마찬가지로 돼지 간에도 많은 비오틴이 들어있습니다. 돼지 고기 간에는 100g 당 약 45 mcg의 비오틴이 들어 있다고 합니다.
2. 비오틴 많은 음식 - 바나나
바나나도 비오틴을 섭취하는 데 있어서 좋은 식품이랍니다. 쉽게 구할 수 있으며, 탄수화물, 비오틴, 구리, 칼륨 과 같은 여러가지 영양소가 함유되어있는 바나나는 정말 쉽게 비오틴을 먹을 수 있는 좋은 식품이지요.
3. 비오틴 많은 음식 - 고구마
고구마 125g에는 2.4 mcg 정도 들어있어요. 이는 하루에 섭취해야 하는 양의 약 8%에 해당합니다. 비타민이나 미네랄, 섬유질 등 기타 많은 영양소가 풍성하게 들어있으므로 비오틴 많은 식품으로 간식, 식사 대용으로 좋아요.
4. 비오틴 많은 음식 - 유제품
유제품은 전체적으로 비오틴을 섭취하기에 좋으며 여러가지 영양소인 단백질, 칼슘, 비타민 과 같은 성분들을 갖고 있으며 유제품의 유산균은 장을 튼튼하게 하는 효과도 있답니다.






5. 비오틴이 많은 음식 - 계란
계란은 우리 몸에 좋은 성분을 손쉽게 제공하는 좋은 음식이지요. 계란에는 비오틴 또한 풍성하게 들어 있어요. 특히나 노른자에 많이 있어요. 닭의 알뿐만 아니라, 오리알, 메추리알 등에도 티오틴이 많이 포함되어 있어요. 메추리알의 경우, 노른자 뿐만 아니라 흰자에도 많이 함유되어 있다고 합니다.
6. 비오틴 많은 음식 - 시금치
시금치는 섬유질, 엽록소 또는 철분이 매우 많은 공급원이지요. 시금치는 노화를 지연시킬 수 있으며 비타민 C, 철분과 함께 먹으면 효과적이지요. 철분과 함께 시금치를 먹으면 철분 결핍으로 인해 발생할 수 있는 빈혈을 개선하는 데 도움을 줍니다.
7. 비오틴 많은 음식 - 아보카도
아보카도에는 엽산과 식이섬유가 풍성하게 합유되어 있어요. 또 단일불포화지방산도 많은데요. 아보카도 한개 당 비오틴 1.85㎍이 포함되어 있으며,, 구리도 풍부해서 호르몬 균형을 도와주어요. 머리카락 강화 또는 필요 지질을 보충해서 두피 기능을 강화해주어요. 단, 열량이 높기 때문에 하루 반개 정도 섭취해줘야 합니다.
8. 비오틴 많은 음식 - 콩류
콩은 몸에 좋은 여러가지 성분이 함유되어 있는 것은 모두 아실거에요. 특히 검은콩의 경우, 탈모에 걸린 사람들한테 좋다고 합니다. 비오틴의 경우에도 일부의 콩 종류에 포함이 되어 있어요. 가장 유명한 동부콩, 리마콩, 대두, 서리태, 흑태, 대두, 나토 등이 있어요. 참고로 동부콩은 피부 건강, 체중 감량 등에도 좋다고 합니다.



9. 비오틴이 많은 음식 - 맥주효모
맥주효모에도 비오틴 효능이 풍부합니다. 맥주효모가 탈모인들에게 유용한 음식으로 주목을 받고 있는데요 그 이유는 바로 비오틴 때문이지요. 맥주효모에는 비오틴, 시스틴, 메티오닌 등 성분이 풍부합니다. 이런 성분께서는 탈모 증상을 개선시키는 데 있어서 효능이 있으며, 역시 항산화 역할로 노화와 질병을 촉진하는 활성산소를 제거해주어요.
10. 비오틴 많은 음식 - 버섯
버섯은 비오틴뿐만 아니라 콜레스테롤을 저하시키고 당뇨병 환자에게 많음 도움을 주는 음식이라고 할 수 있죠. 그리고 버섯은 칼로리가 낮고, 씹는 식감이 탁월해서 많은 분들이 좋아합니다. 식단에 버섯을 포함 시키면 몸의 균형을 유지하는데 도움을 줍니다. 다만 너무 익히면 비타민이 손상되니 가볍게 익히는게 좋아요. 가장 유명한 버섯으로 느타리, 목이, 양송이, 영지, 팽이, 표고 등 다양하게 있어요.
비오틴 많은 음식에 관하여 알려드렸어요. 위 내용 바탕으로 건강에 항상 힘써보시기 바래요. 방문해 주셔서 감사드려요.
다른 사람이 많이 본 글
천식 증상 원인 치료방법 예방법 총정리
천식 증상은 매우 심한 증상이라고 볼 수 있는데요 전 연령층에서 10% 정도가 앓는 질환으로 그만큼 발생 위험이 높은 것이 천식이지요. 우리 몸의 기관지 알레르기 염증 때문에 기도과 예민해지
goodsalm.com
ott 뜻 정리! 넷플릭스 요금제 얼마?
콘텐츠 시장은 그야말로 춘추전국 시대라고 말할 수 있을 만큼 많은 기업들이 참여하고 있어요. 지금 글을 읽는 분은 어떤 ott 서비스를 이용하고 계신지요? 저는 넷플릭스와 웨이브를 결제하여
goodsalm.com
임신 초기증상 12가지 체크하기
임신 초기에는 증상이 확연히 나타나지 않거나 초기 증상을 알아차리지 못하는 경우가 있어 약 복용은 물론 음주를 하는 경우가 있고, 무리한 운동이나 활동을 하기도 합니다. 아시다시금피 초
goodsalm.com
댓글